SMM商机 > 钢铁 > 钢铁加工 > 特钢 > 无取向硅钢35WW440电工钢35W440硅钢带导磁性能区别

无取向硅钢35WW440电工钢35W440硅钢带导磁性能区别

4560 / 更新时间:7小时前
品牌

武钢

规格

0.35*1000*C

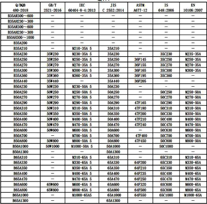
型号

35WW440 T4 35W440 J

货物所在地

湖北 武汉市

供货量

500

查看名片
  • 产品详情
  • 查看名片
产品名称 特钢
类别 钢铁
品牌 武钢
规格 0.35*1000*C
型号 35WW440 T4 35W440 J

联系方式
暂未填写职位
上海增续实业有限公司
手机号码 13764635229
user_img

使用 微信 扫一扫

加入我的“名片夹”

在线客服
扫码进群

扫码进群

扫码进群
在线客服
在线客服

在线客服

在线客服
手机访问

微信扫一扫

手机访问