SMM商机 > 钢铁 > 钢铁加工 > 特钢 > 冷轧高效能电工钢B20AH230硅钢 低损耗 冲压性能好高导磁矽钢片

冷轧高效能电工钢B20AH230硅钢 低损耗 冲压性能好高导磁矽钢片

8320 / 更新时间:23小时前
品牌

宝钢 武钢

规格

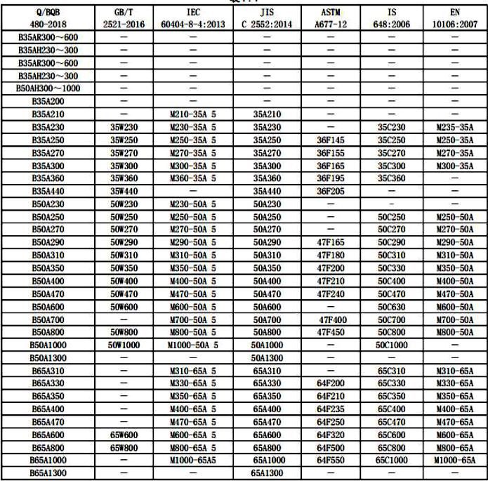
0.2*1000*C

型号

B20A230 B20AH250 20WTG1500

货物所在地

上海

供货量

500

查看名片
  • 产品详情
  • 查看名片
产品名称 特钢
类别 钢铁
品牌 宝钢 武钢
规格 0.2*1000*C
型号 B20A230 B20AH250 20WTG1500

联系方式
暂未填写职位
上海增续实业有限公司
手机号码 13764635229
user_img

使用 微信 扫一扫

加入我的“名片夹”

在线客服
扫码进群

扫码进群

扫码进群
在线客服
在线客服

在线客服

在线客服
手机访问

微信扫一扫

手机访问