SMM商机 > 钢铁 > 钢铁加工 > 螺纹钢 > 无取向电工钢B65A800硅钢 硅钢卷 矽钢片 铁芯片 执行国标

无取向电工钢B65A800硅钢 硅钢卷 矽钢片 铁芯片 执行国标

4520 / 更新时间:12月15日
品牌

宝钢 武钢马钢

规格

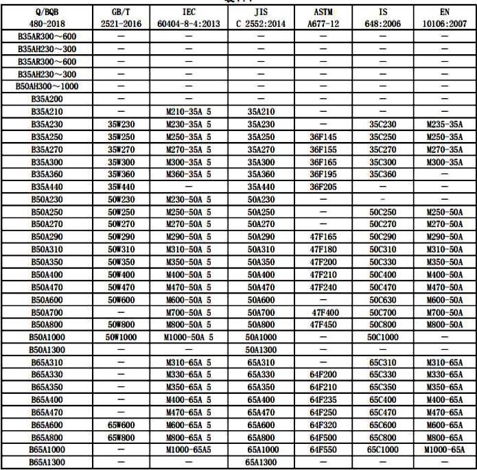
0.65*1000*C

型号

B65A800 A H M J Z

货物所在地

上海

供货量

500

查看名片
  • 产品详情
  • 查看名片
产品名称 螺纹钢
类别 钢铁
品牌 宝钢 武钢马钢
规格 0.65*1000*C
型号 B65A800 A H M J Z

联系方式
暂未填写职位
上海增续实业有限公司
手机号码 13764635229
user_img

使用 微信 扫一扫

加入我的“名片夹”

在线客服
扫码进群

扫码进群

扫码进群
在线客服
在线客服

在线客服

在线客服
手机访问

微信扫一扫

手机访问